近日,山东大学考古学院联合烟台市博物馆在国际学术期刊Journal of Archaeological Science共同发表最新的研究成果“Millet specialization and secondary settlements: How social inequality shaped agricultural resilience under late Holocene climatic stress in Neolithic China”。该研究通过对山东高青夏庄遗址(龙山文化晚期次级聚落)的炭化植物遗存与植硅体进行系统分析,并结合海岱地区29处遗址的数据,清晰揭示了在晚全新世气候压力下,龙山时代中心聚落与次级聚落之间差异化的农业适应策略。研究指出,晚全新世的气候波动不仅是一种环境挑战,更可能加剧了资源分配的区域不平等,而史前社会的“韧性”因此可被视为复杂社会结构的一种衍生物,它源自其中具有适应性却不平等的资源分配机制。
山东大学考古学院博士研究生武莹莹、烟台市博物馆孙兆锋研究馆员为共同第一作者,烟台市博物馆孙慧男助理馆员、山东大学考古学院曹冬蕾实验师和王灿教授为共同通讯作者,山东大学考古学院24届硕士毕业生张朝阳为共同作者。
位于鲁北平原的山东高青夏庄遗址(图一和图二),是龙山文化丁公中心聚落系统内的一处次级聚落。该遗址保存了较好的龙山文化晚期堆积,且地处对水文变化敏感的低海拔冲积平原,为探讨次级聚落在晚全新世气候波动下的生计适应策略提供了一个重要窗口。长期以来,相关研究多集中于大型中心聚落,而对次级聚落的关注相对不足。因此,对该遗址开展系统研究,不仅有助于复原基层村落的经济生活,也为深入理解气候压力如何与既有的社会结构互动,进而塑造差异化的区域生存韧性,提供了关键的微观视角与实证线索。

图一 夏庄遗址及研究相关遗址分布图

图二 夏庄遗址发掘区与采样点分布图
1.次级聚落的“粟作专业化”生存策略
夏庄遗址的植物考古证据显示,该聚落的农业经济具有高度专业化特点,以旱作农业为主(图三)。粟(Setaria italica)占据绝对主导地位,占可鉴定种子总数的96.35%,且出土概率高达84.91%。黍(Panicum miliaceum)和大豆(Glycine max)仅作为零星补充。杂草种子比例极低(1.37%),且以耐旱的禾本科、豆科杂草为主。植硅体分析进一步确认了粟、黍的存在以及水稻的缺失。

图三 高青夏庄遗址代表性炭化植物遗存:a.粟(Setaria italica)b.黍(Panicum miliaceum) c.不成熟粟(immature foxtail millet)d.不成熟黍(immaturebroomcornmillet) e.大豆(Glycine max) f.野大豆(Glycine soja)g.草木樨(Melilotus officinalis) h.胡枝子(Lespedeza bicolor) i.茜草科(Rubiaceae) j.莎草科(Cyperaceae) k.马唐属(Digitariasp.)l.紫苏(Perilla frutescens) m.堇菜(Viola arcuata)
2.聚落等级体系内的农业经济分层
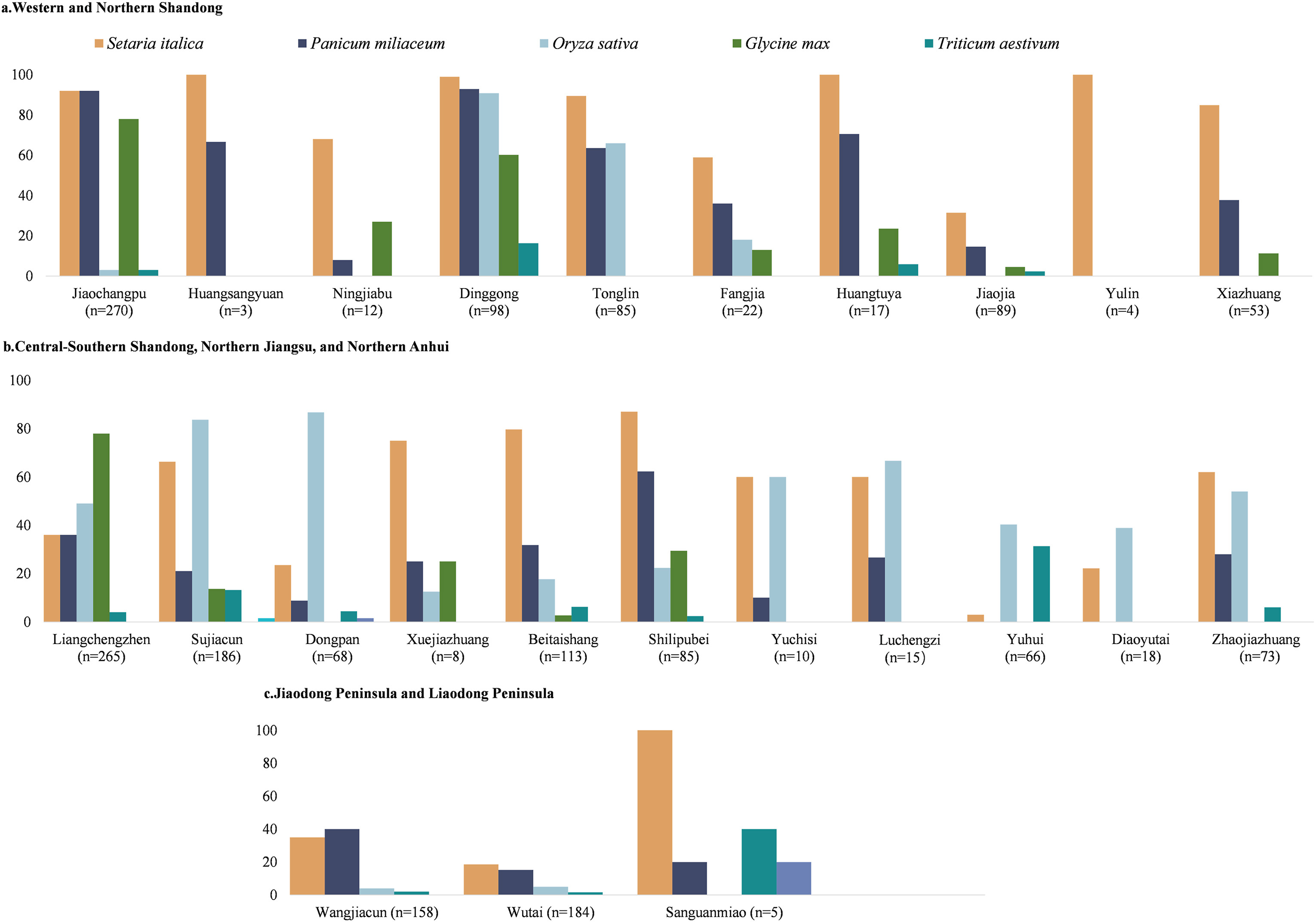
本研究将夏庄个案置于区域聚落等级体系中进行比较(图四和图五)。研究发现,龙山时期海岱地区北部(以鲁西和鲁北地区为例)的农业经济存在清晰的等级分化。区域中心聚落(如城子崖、丁公、桐林)普遍展现出稻旱混作的农业模式,这很可能得益于它们对优质水土资源的优先获取能力。相比之下,以夏庄为代表的非中心/次级聚落,则呈现出以粟为主导、作物多样性有限的农业组合,水稻证据极为罕见。
这种差异表明,在晚全新世气候不稳定的背景下,中心聚落凭借其社会政治地位,能够维系并发展需要更多水资源和管理投入的稻作农业,从而构建更具缓冲能力的混合经济。而次级聚落则可能因资源获取受限,被迫采用更为专一、低风险但弹性相对较小的“粟作专业化”策略。

图四 鲁西和鲁北地区龙山时期中心聚落(a)与次级聚落(b)作物遗存百分比

图五 鲁西和鲁北地区龙山时期中心聚落(a)与次级聚落(b)作物遗存出土概率
3.晚全新世气候压力下农业适应策略的区域分化
研究进一步将视角扩展至整个海岱地区,识别出三种不同的农业适应模式(图六和图七):
1.鲁西和鲁北地区:表现为中心聚落与稻旱混作农业的强关联,次级聚落则高度依赖粟作。
2.鲁中南、鲁东南和苏北、皖北地区:得益于更优越的水热条件,水稻栽培更为普遍,不仅限于中心聚落。
3.胶东半岛和辽东半岛:受沿海丘陵地貌限制,农业以粟为主,水稻和小麦占比极低。

图六 海岱地区龙山时期作物遗存百分比

图七 海岱地区龙山时期作物遗存出土概率
这些模式表明,晚全新世趋于冷干化的气候压力并未导致海岱龙山社会统一的响应,而是放大并重塑了既存的社会与环境不平等。农业适应策略的多样性,深刻地反映了资源获取机会的不平等是如何被嵌入到日益复杂的社会结构之中,并共同塑造了所谓的“社会韧性”。
本研究通过对一个次级聚落的微观剖析,串联起宏观的区域对比,为理解史前社会复杂化进程中的农业经济基础、资源分配不平等与社会环境适应之间的互动关系提供了关键案例。它挑战了将“韧性”简单等同于均质化或最优适应策略的观点,提示我们史前社会的可持续性可能恰恰源于其内部不平衡但功能上相互依赖的适应性结构。这项研究不仅深化了对龙山社会生计经济的认识,也为在全球气候变化背景下反思不平等与社会适应能力的关系提供了历史视角。
文章链接:https://doi.org/10.1016/j.jas.2026.106550
【作者:武莹莹 审核:王灿】